惊魂!国航回应上海飞北京航班遭遇晴空颠簸,乘客描述让人后怕,3月多家航司也遇晴空颠簸…

2023-07-12 17:46   126   0  

今天应该有很多网友早上起来是被这个热搜第一吓清醒的——


CA1524 颠簸。



CA1524遭遇晴空颠簸


7月10日下午,多位网友称,上海飞往北京的CA1524航班,在空中遭遇了严重颠簸,看描述真的令人后怕的一身冷汗。


“飞机水瓶抱枕满天飞。”

“空姐捡了一大把手机找失主。”

“有生以来遇到最为严重的一次飞机空中风切气流。”

“空姐直接飞起来把房顶板子都砸裂开了。”

“安全逃离装置都砸烂了。”

“降落的那一刻,大家都在鼓掌。”

“亲身经历,现在都有阴影。”

中国地质大学(北京)副教授邢立达也发微博称,这飞机坐得主打一个惊吓。

从流出的照片看,现场一片狼藉。

7月11日,@中国国际航空微博发布通报。

航空博主@FATIII分析,根据@飞常准 的回放来看,飞机高度没有明显异常的变化,但是航路上确实有雷雨天气。再次提醒大家,坐飞机一定要尽量系好安全带,以免遇到突然颠簸。


值得注意的是,7月10日,中央气象台预计7月10日14时至11日14时,北京东南部等地的部分地区有8-10级雷暴大风或冰雹天气。

@航空物语 分析说:晴空颠簸不同于可以用气象雷达探测出的雷雨云,它不可预测,也很难用雷达提前探测到,误入其中轻则客舱人员起飞,重则飞机受损。最好的避免方式只要坐在座位上就系好安全带。


网友分享经历过的颠簸


蛮多网友回忆分享了自己乘飞机遇到过的颠簸。


有的颠到怀疑人生,从此有点害怕坐飞机了。

人突然遇到颠簸太猛的时候,真的会想很多很多……

也有的心态相当好,经历过晴空颠簸,但现在出差依旧坐飞机😂

可以参考空姐脸色,总之安全带要系好。


晴空颠簸并不罕见


目前预报晴空颠簸仍然是世界难题,由于它不伴有可见的天气现象,属于无色无味无影无踪的突变气流,气象观测很难发现它的存在。机载雷达是通过含水量来探测天气的,所以也无法探测到晴空颠簸。


每年都会发生多起由于晴空颠簸导致的乘务员和旅客受伤事件。

2020年8月20日,国航一北京飞杭州的航班也曾遭遇晴空颠簸,上了热搜。

据乘客描述,当时现场也是蛮混乱惊吓的。

又比如,2023年3月23日,安哥拉航空湿租包机公司Hifly一架A330-300(9H-HFA)执行的罗安达(安哥拉首都)至里斯本航班,在北非上空38000英尺高度遭遇晴空颠簸。


根据流出的现场照片,遭遇晴空颠簸时应该恰好在进行餐食服务,机上8名旅客和2名机组人员共10人受伤,客舱内一片狼藉。

事实上,23年3月初,多家航司客机遭遇晴空颠簸。


3月1日,汉莎航空A330执行LH469航班,从奥斯汀前往法兰克福途中遇到晴空颠簸,乘客称飞机一度进入了“自由落体”状态,食物“飞向空中,撞击甚至损坏了飞机的天花板。

3月2日,德国Condor神鹰航空一架注册号为D-ANRA的A330-900客机在执飞由法兰克福前往毛里求斯的航班时,飞机在降落前大约2小时于科摩罗群岛北部上空遭遇晴空颠簸,飞机顶板被撞破了一个大洞,显示颠簸威力颇为惊人。

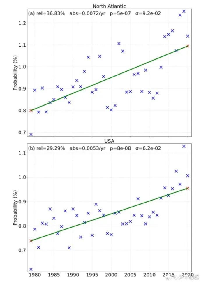
有网友找了下数据,发现这些年晴空湍流数量增加了,航班遭遇晴空颠簸的概率也随之增加。


所以而作为乘客应对晴空颠簸的方法,就是全程系好安全带,相信并遵从空乘的指挥。

来源:上海全知道

欢迎关注灰产圈社群服务号


关注公众号后回复"干货",

免费领取万字干货《如何找到靠谱的项目》一份!

文章引用微信公众号"灰产圈",如有侵权,请联系管理员删除!

博客评论
还没有人评论,赶紧抢个沙发~
发表评论
说明:请文明发言,共建和谐网络,您的个人信息不会被公开显示。