字节实习一面,不画图,真的想不清楚!

2023-07-19 17:03   137   0  
将 脚本之家 设为“星标
第一时间收到文章更新

来源公众号:吴师兄学算法  ID:CXYxiaowu

已获得原公众号的授权转载

一、题目描述

给你链表的头结点 head ,请将其按 升序 排列并返回 排序后的链表示例 1:

输入:head = [4,2,1,3]
输出:[1,2,3,4]

示例 2:

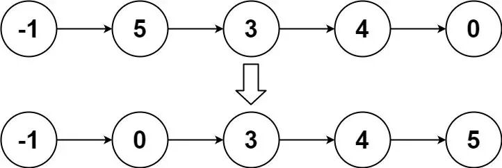
输入:head = [-1,5,3,4,0]
输出:[-1,0,3,4,5]

示例 3:

输入:head = []
输出:[] 

提示:

  • 链表中节点的数目在范围 [0, 5 * 10^4]
  • -10^5 <= Node.val <= 10^5

进阶:你可以在 O(n log n) 时间复杂度和常数级空间复杂度下,对链表进行排序吗?

二、题目解析

我在这道题目的评论区看到有两个同学提到字节考察过,并且都是要实现 O(1) 的空间复杂度才过关

图片来源于 LeetCode 148 号问题题解评论区

这道题目确实挺有难度的,不画图,真的想不清楚。

题目要求时间空间复杂度分别为 O(nlogn) 和 O(1) ,根据时间复杂度和题目中的排序两个字,可以联想到归并排序快速排序

所以,本题有两种解法:归并排序快速排序

这里我们先用归并排序的思路进行处理,其中合并的基本操作如下:

  • 1、长度为 1 的链表和长度为 1 的链表合并后,形成一个长度为 2 的链表
  • 2、长度为 2 的链表和长度为 2 的链表合并后,形成一个长度为 4 的链表
  • 。。。

而由于合并过程中操作的是链表,所以需要有断链重新连接的过程。

具体操作步骤如下:

1、先获取链表长度,基于这个长度才能知道后续合并到什么时候截止

2、设置三个指针 prevcurrnext

其中, prev表示已经排序好的链表的【尾节点】。

curr 一开始设置为准备排序的那些节点的【首节点】,然后向后移动,获取相应的节点,到达所有正在准备排序的那些节点的【尾节点】位置。

next 表示接下来需要排序的那些节点的【首节点】。

3、断开 prevcurr 的连接,再断开 currnext 的连接。

4、把 curr 访问的这些节点划分为两个区域,区域的长度取决于此时进行到了长度为多少的链表进行合并操作,一个是左链表,一个是右链表,把这两个链表进行合并操作。

5、合并成功之后,prev 移动到尾部,curr 来到 next 的位置,继续后面的归并操作。

6、这样一轮下来,已经把长度为 2 的链表和长度为 2 的链表合并,形成了一个长度为 4 的链表。

7、接下来,只需要执行上述同样的操作,唯一的修改点在于合并的子链表长度变成了 4。

三、参考代码

// LeetCode 100 题精讲:https://mp.weixin.qq.com/s/yznC53g46phq3qF7V4-obA
// 作者:程序员吴师兄
// 排序链表(LeetCode 148):https://leetcode.cn/problems/sort-list/
class Solution {
    public ListNode sortList(ListNode head) {

        // 获链表的总长度
        int length = 0;

        // 从链表的头节点开始访问
        ListNode node = head;

        // 利用 while 循环,可以统计出链表的节点个数,即长度
        while (node != null) {

            length++;

            node = node.next;

        }

        // 在原链表的头部设置一个虚拟头节点
        // 因为可能会操作到原链表的头节点
        // 设置了虚拟头节点后,原链表的头节点和原链表的其它节点地位一样
        ListNode dummyHead = new ListNode(0, head);

        // 利用 for 循环,执行合并的操作
        // 长度为 1 的链表和长度为 1 的链表合并后,形成一个长度为 2 的链表
        // 长度为 2 的链表和长度为 2 的链表合并后,形成一个长度为 4 的链表
        // 长度为 4 的链表和长度为 4 的链表合并后,形成一个长度为 8 的链表
        // 长度为 8 的链表和长度为 8 的链表合并后,形成一个长度为 16 的链表
        // 也有可能是,长度为 8 的链表和长度为 5 的链表合并后,形成一个长度为 13 的链表
        // 但是,每次合并过程中,子链表都会想要扩充为原来的两倍
        // 直到子链表想要扩充的长度超过了 length
        for (int subLength = 1; subLength < length; subLength *= 2) {

            // 整个归并过程分为三个步骤
            // 1、不停的划分,直到无法划分为止
            // 2、开始两两合并
            // 3、每次合并之后的结果都需要连接起来

            // 每次都把结果连接到 dummyHead,因此先记录一下
            // prev 表示已经排序好的链表的【尾节点】
            ListNode prev = dummyHead;
            
            // dummyHead 的后面节点才是原链表的节点,需要把它们进行划分
            // curr 表示所有正在准备排序的那些节点的【尾节点】
            ListNode curr = dummyHead.next;

            // 利用 while 循环,寻找出每次划分后子链表的头节点
            while (curr != null) {
                
                // 每次都是两个子链表开始合并

                // 1、先寻找出【左子链表】,长度为 subLength
                ListNode head1 = curr;

                // 通过 for 循环,找出 subLength 个节点来
                // curr 的索引为 0 ,需要再找 subLength - 1 个节点来
                for (int i = 1; i < subLength && curr.next != null; i++) {

                    curr = curr.next;

                }

                // 2、再寻找出【右子链表】,长度最多为 subLength,甚至有可能长度为 0
                ListNode head2 = curr.next;

                // 此时,需要将【左子链表】与【右子链表】的连接断开
                curr.next = null;

                // curr 来到【右子链表】的头部
                curr = head2;

                // 通过 for 循环,找出【右子链表】的那些节点来
                // 【右子链表】的节点个数可能达不到 subLength,甚至只有 1 个或者 0 个节点
                for (int i = 1; i < subLength && curr != null && curr.next != null; i++) {

                    curr = curr.next;

                }

                // 获取到【右子链表】之后,需要把它和后续链表断开
                // next 表示接下来需要排序的那些节点的【首节点】
                ListNode next = null;

                // 如果 curr != null,那么说明【右子链表】的节点个数达到了 subLength 个,并且后续还有节点
                if (curr != null) {
                    
                    // 记录一下后面节点
                    next = curr.next;

                    // 再将【右子链表】和后续链表断开
                    curr.next = null;

                }

                // 将【左子链表】与【右子链表】合并
                ListNode merged = mergeTwoLists(head1, head2);

                // 合并之后的结果需要连接到前一个链表
                prev.next = merged;

                // prev 来到链表的尾部,是下一个即将合成链表之后的前一个链表的尾节点
                while (prev.next != null) {

                    prev = prev.next;

                }

                // curr 来到 next,处理后面的节点
                curr = next;
            }

        }

        return dummyHead.next;
    }

    // 合并两个有序链表的代码
    private ListNode mergeTwoLists(ListNode l1, ListNode l2) {
        // 一开始设置一个虚拟节点,它的值为 -1,它的值可以设置为任何的数,因为我们根本不需要使用它的值
        ListNode dummy = new ListNode(-1);

        // 设置一个指针,指向虚拟节点
        ListNode pre = dummy;

        // 通过一个循环,不断的比较 l1 和 l2 中当前节点值的大小,直到 l1 或者 l2 遍历完毕为止
        while (l1 != null && l2 != null) {
            // 如果 l1 当前节点的值小于等于了 l2 当前节点的值
            if (l1.val <= l2.val) {
                // 让 pre 指向节点的 next 指针指向这个更小值的节点
                // 即指向 l1
                pre.next = l1;
                // 让 l1 向后移动
                l1 = l1.next;
            }else {
                // 让 pre 指向节点的 next 指针指向这个更小值的节点
                // 即指向 l2
                pre.next =l2;
                // 让 l2 向后移动
                l2 = l2.next;
            }
            // 让 pre 向后移动
            pre = pre.next;
        }

        // 跳出循环后,l1 或者 l2 中可能有剩余的节点没有被观察过
        // 直接把剩下的节点加入到 pre 的 next 指针位置

        // 如果 l1 中还有节点
        if (l1 != null) {
            // 把 l1 中剩下的节点全部加入到 pre 的 next 指针位置
            pre.next = l1;
        }

        // 如果 l2 中还有节点
        if (l2 != null) {
            // 把 l2 中剩下的节点全部加入到 pre 的 next 指针位置
            pre.next = l2;
        }

        // 最后返回虚拟节点的 next 指针
        return dummy.next;
    }
}



  推荐阅读:
  1. 美团一面:循环队列听说过么,怎么实现?
  2. 字节二面:DNS 解析一个地址的时候会返回多个 IP 吗?
  3. 字节一面:MySQL 是怎么存储 NULL 的?
  4. 腾讯一面,没有稳住,凉了!
  5. 一面、二面、三面有什么区别?

文章引用微信公众号"脚本之家",如有侵权,请联系管理员删除!

博客评论
还没有人评论,赶紧抢个沙发~
发表评论
说明:请文明发言,共建和谐网络,您的个人信息不会被公开显示。