印度经济能否赶超中国?

2023-06-22 20:50   126   0  
2023年4月11日是世界人口日,联合国发布数据称:全球人口将在今年底突破80亿大关;而印度人口将在本月超过中国,成为全球第一人口大国。
这将为印度开启新的篇章,印度的庞大人口体量会提升其国际地位,尤其是作为世界第五大经济体,它还是增长最快的经济体。
如果按照预测,印度成为全球第一人口大国,意味着中国成为世界人口第二大国。失去第一人口大国的头衔,对中国意味着什么?会不会因此影响中国的大国地位?中国的人口红利结束了吗?
中印人口之争已经持续多年,对于今天的中国来说,第一人口大国的头衔是福是祸还在争论之中,而老龄化加剧、人口出现负增长,会对经济增长带来哪些负面影响也成为人们关注的焦点。
携程创始人、人口学家梁建章在其新著《人口战略》中对印度的发展历史、人口结构以及发展趋势进行了分析预测。下文整理摘编自《人口战略》。
一、印度为什么还是个穷国?

历史上的印度,曾经拥有和中国一样伟大的灿烂文明,跻身于几大文明古国之列。在过去的 60 年里,印度的民主制度平稳运行。但是,在工业化的道路上,为何印度是姗姗来迟的后发国家呢?
在历史上的大多数时期,印度并不是一个单一的国家。相反,它是许多独立小王国的集合。
我曾对工业革命始于西方、早于东方做出解释。第二次世界大战后,世界其他地区的经济体开始奋力追赶。日本、韩国等经济体在此时期采取了开放的市场经济体制,而印度奉行的却是截然不同的自给自足的计划经济制度。
从政治意义上讲,尽管印度绝非苏联式的政权,但不可否认的是,在 20世纪 90 年代之前,印度实行的经济政策正是苏维埃式的自上而下的计划制度。很多原来的私营企业被迫国有化,例如原来印度的私营航空公司就被收归国有(近几年由于经营不善再度私有化)。
计划经济的政策给创新和创业加上了沉重的枷锁,比如许可证制度。比如超过一定规模的企业如果要解雇工人,就必须经过政府批准。由于这些条条框框,许多行业的企业规模很小,相当多的企业不得不冒着法律风险大量雇用临时工。
这从根本上扼杀了创新和创业的动力。而正是扩大经营规模的目标和潜在回报,才能激发了企业家创业与创新的动力。
既然创业开公司没有发展前景,理性的聪明人会转行做其他工作。一旦企业成长失去动力,那么印度最大的优势—巨大的市场规模造就的规模优势也会消失殆尽。
中国的大型企业动辄有成千上万名员工,其生产率具有世界领先的竞争力,因此兼具大型出口商的身份。相比之下,印度几乎没有大型纺织企业。当我问到印度企业家为何不扩大生产规模时,得到的答案是,现行的法律法规更有利于小企业,在此背景下将企业做大的成本高昂。所以,与中国不同,印度没有以出口为主的劳动密集型制造业。
印度政府在 20 世纪 90 年代改革前所犯的一个错误是,没有实行开放贸易。
部分原因是国内企业的规模有限,无力在世界市场上竞争。为了保护印度的小企业,政府对进口商品征收高额关税。外国直接投资在印度企业中不得高于50%,由此阻碍了许多跨国公司的投资。
与许多拉丁美洲国家一样,印度的进口替代战略惨遭失败。印度企业没有与世界同行进行竞争的机会,这进一步拖累了印度的追赶和创新战略。最后,限制性贸易政策不仅切断了印度与世界市场的联系,还减缓了其与世界其他国家的人员、思想和技术的交流。凡此种种,都对印度的创新和经济增长造成沉重打击。
印度能否实现持续增长?人口和市场规模是推动创新的基本要素。近年来,印度的人口规模保持世界第一,而且其人力能力得以显著提升。
自 20 世纪 90年代改革以来,大学入学率从 6% 稳步提高到 10%,印度现在每年有超过 200万名大学毕业生。
按照美国最优秀的研究生院的生源指标来衡量,印度本土培养的素质过硬的大学生,是美国研究生院招生的最大来源之一。比如,印度理工学院享誉世界,每年培养数以千计的工程和科学领域的顶尖人才。
二、印度的创新力和经济预测
虽然印度在很多中国人的心目中是一个贫穷的国度,但是,得益于其庞大的人口规模,印度的经济总量在 2019 年已经超越了英国和法国,成为全球第五大经济体。最近几年,印度的经济高速增长,是世界几大经济体中增长最快的。
印度政府的目标,是在 2030 年前成为世界第三大经济体。当然印度还没有达到中等收入国家水平,其现在的创新水平尚不处于世界前沿,更多的是适应性创新。但是在 10 年以后,印度很有可能达到中等收入国家水平,其创新能力就有可能和现在的中国一样,在世界舞台上崭露头角。
创新力 = 人口数量 × 人口能力 ×(内部交流量 + 外部交流量)
我们还是用创新力模型来分析印度的创新力,从人口规模、人口能力、内部交流量和外部交流量几个维度来分析。
根据联合国数据,印度的人口总量将在 2023 年超越中国,成为世界第一人口大国。而且印度现在的生育率几乎是中国的两倍,每年的新生人口更是远远超过包括中国在内的其他任何一个国家。所以在可预期的未来,印度在人口规模上将远远超过包括中国的其他国家。
从人口能力角度来看,印度正在大力发展高等教育,其大学生数量从2000 年的 840 万增加到 2013 年的 2380 万以及 2020 年的 3500 万左右。有人会质疑印度高等教育的质量和印度大学生的能力。
我们可以通过分析来评估印度大学生的能力。比较不同国家大学生能力的一个办法是,看来自不同国家的留学生在美国研究生院所获得的博士学位的份额。因为美国仍然拥有世界上最好的博士研究生院,而且相对公平开放地接受全球各个国家的大学生申请。
下图标注的是 2006 年获得美国理工科博士学位的非美国公民人数按照国籍区分所占的比例。这一数字表明,被授予博士学位的中国学生人数是欧洲学生人数的两倍多。被授予博士学位的印度学生所占的份额和欧洲差不多,大于南美洲和非洲所占份额的总和。
从人均获得美国理工科博士学位的角度来看,印度学生的人均水平远远高于其他发展中国家的人均水平,由此可见,印度的人口能力虽然现在还远远落后于发达国家,但是高于其他发展中国家,而且随着接受高等教育人数的增加,还有很大的上升空间。
2006 年获得美国理工科博士学位的非美国公民人数按照国籍区分所占的比例
度比中国更有优势的是,英语是其精英阶层的第一语言。首席执行官(CEO)也被美国媒体称为印度出口的“商品”之一。据美国《时代》周刊统计,在全球500强企业中,三分之一的高管为印度裔,包括微软公司首席执行官萨提亚·纳德拉、谷歌首席执行官桑达尔·皮查伊等知名高管。
硅谷是美国高科技企业云集之地。据加州大学经济学教授纳维卡·辛格统计,在当地的初创科技类企业中,印度裔创始人占三分之一。当前,印度裔仅占美国人口大约1%,却在美国高科技公司创始人中的比例达到8%。
这些移民美国的印度裔精英人群可以在许多方面襄助母国。许多跨国公司正在扩大在印度的投资经营,在印度建立研发中心,部分原因正是因为作为高管的印度裔能够参与公司未来战略决策。
彭博社预测,未来 15 年,印度经济将保持每年 7% 左右的增速,经济总量翻两番, 2030 年人均收入将达到 8 000 美元的规模。届时印度将超过日本和德国,成为世界第三大经济体。
2030 年之后,与中国不同,印度虽然仍会相对贫穷,但得益于更庞大、更年轻的群体以及越来越多的人口红利,印度可以继续发挥后发优势,实现比美国和中国更快的增长。
从现在起的两代人时间里,印度的劳动力人口将比中国庞大得多,而青年劳动力的数量将达到中国的两倍。预计到 21 世纪末,印度经济将反超中国和美国,成为世界最大的经济体。
三、印度的创新力和经济预测
印度拥有创新型国家所必备的要素:稳定的政府、开放和自由的市场、高素质的教育、不断增长的出口业,最重要的是正增长和年轻化的人口。
目前,中国也拥有正增长和年轻化的人口这一要素。然而,中国人口很快就会增长缓慢并且步入老龄化。有鉴于此,印度经济将有很大的机会在未来赶超中国。
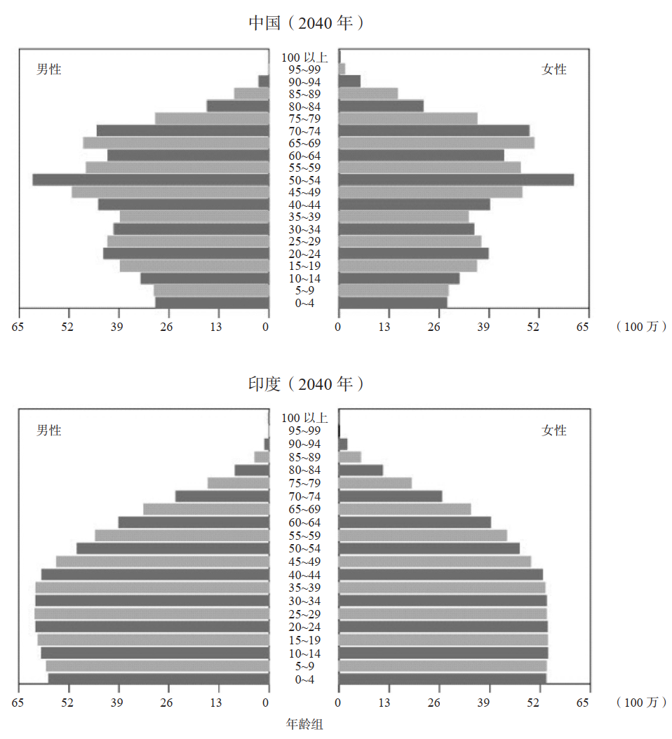
让我们比较一下印度和中国的人口结构。
如下图所示,中国存在显而易见的人口问题,而印度如今的人口结构呈现出近乎完美的金字塔形,印度的中位年龄是 28 岁,而中国的中位年龄是38 岁。印度的生育率在 2.4 左右,而中国的生育率为 1.4,印度的生育水平高出中国几乎一倍。2022 年印度新生儿的数量约为 2 400 万人,而中国只有 956万人。这就意味着,中国每年新生儿的数量比印度少 60%
2020 年的人口金字塔
当印度在 2040 年达到中等收入国家水平时,印度将拥有世界上最大的人口数量,具有最大的规模优势(见下图)。
而英语作为官方语言也是印度的优势,英语更好的印度人才更容易进入世界市场,印度企业更容易在世界各地经营,印度学术界会更轻松地与世界其他地区交流。此外,常用英语的优势使得印度能够吸引更多的移民。
2040 年的人口金字塔
到 2040 年,印度的经济增长将快于中国,可进一步缩小印度与中国的人均 GDP 差距。与此同时,印度的生育率将继续显著高于中国。
因此,印度的人口预计将达 16 亿之巨,比中国人口高出约 30%( 12 亿)。印度的劳动年龄人口约为 8 亿,而中国为 5 亿,几乎高出中国 60%。因此,即使印度的劳动生产率只能达到中国的 2/3,印度的经济规模也终将大于中国,且远远高于美国。
我们来看一下对中国和印度的青年劳动力人口的预测,到 2070 年,印度年龄在 20~39 岁的青年劳动力将超过 4 亿,是中国的两倍多(下图)。
我认为,青年劳动力是劳动力人群中最有创造力和最具创业精神的群体。不仅印度会有更多的年轻劳动力,而且相比中国,印度的年轻人会成为更好的创新者和企业家,因为如《人口战略》一书中所探讨的那样,中国将面临老龄化社会的阻挡效应。到 21 世纪末,印度的创新性极有可能超过中国。
总之,作为新兴国家里人口规模最大的国家,印度具有很强的创新潜力。中国也许能在 10 年后超越美国成为最大经济体。与此同时,印度的经济规模将快速增长,逐步赶上中国。
人口形势的变化将成为美国、中国和印度三个主要经济体相对竞争力演变的主要驱动力。
来源:seesayso

文章引用微信公众号"全产业链平台研究",如有侵权,请联系管理员删除!

博客评论
还没有人评论,赶紧抢个沙发~
发表评论
说明:请文明发言,共建和谐网络,您的个人信息不会被公开显示。